旋风分离器分离原理和评价指标
在催化裂化装置中,气固的接触为流态化过程,完成反应或者催化剂再生后,气体将携带大量的固体颗粒,为了将二者分离,需要进行气固分离。这就有了旋风分离器的应用。旋风分离器与其他装置的设备很不一样。在这篇文章中梳理旋风分离器的工作原理与实际应用。

沉降分离
旋风分离器属于沉降分离设备的一种。沉降分离的基础是悬浮系中的颗粒在外力作用下的沉降运动,这种运动以两相的密度差作为前提。悬浮颗粒的直径越大,两相的密度就越大,沉降分离方法的效果就越好。根据作用于颗粒外力的不同,沉降分离设备分为重力沉降和离心沉降两大类。降尘室、增稠器和分级器就是三类典型的重力沉降设备。旋风分离器、气力旋流分级、转鼓式离心机、蝶式分离机和管式高速离心机就是典型的离心沉降设备。
离心沉降一般用于两相密度差较小、颗粒粒度较细的非均相系,利用颗粒做圆周运动的离心力以加快沉降的过程。在离心沉降中,颗粒受到离心力与重力的作用。静止流体中,颗粒在重力(或离心力)作用下,将沿着重力(或离心力)方向做沉降运动。一旦颗粒开始运动,颗粒即受到流体施与的曳力。沉降过程颗粒的受力如下:

比值α称为离心分离因数,其数值的大小是反映离心分离设备性能的重要指标。
对于气固分离来说,最常规的方法就是旋风分离,旋风分离能够分离5~10μm的颗粒,设计良好的旋风分离器可以分离2μm的颗粒。在催化裂化中,根据分离程度的不同,又将旋风分离器划分为粗旋风分离器、高效旋风分离器和第三级旋风分离器。
旋风分离器工作原理
旋风分离器,是用于气固体系或者液固体系的分离的一种设备。工作原理为靠气流切向引入造成的旋转运动,使具有较大惯性离心力的固体颗粒或液滴甩向外壁面分开。旋风分离器的主要特点是结构简单、操作弹性大、效率较高、管理维修方便,价格低廉,用于捕集直径5~10μm以上的粉尘,广泛应用于制药工业中,特别适合粉尘颗粒较粗,含尘浓度较大,高温、高压条件下,也常作为流化床反应器的内分离装置,或作为预分离器使用。

分离器主体的上部为圆筒形,下部为圆锥形。含尘气体由圆筒上部的进气管切向进入,受器壁的约束而向下作螺旋运动。在惯性离心力作用下,颗粒被抛向器壁而与气流分离,再沿壁面落至锥底的排灰口。净化后的气体在中心轴附近由下而上作螺旋运动,最后由顶部排气管排出。通常,把下行的螺旋形气流称为外旋流,上行的螺旋形气流称为内旋流(又称气芯)。内、外旋流气体的旋转方向相同。外旋流的上部是主要除尘区。旋风分离器内的静压强在器壁附近最高,仅稍低于气体进口处的压强,往中心逐渐降低,在气芯处可降至气体出口压强以下。

根据粒径大小与含固量可以考虑设置多级旋风分离器。评价旋分性能有两个主要指标:一是分离效率,二是气体经过旋分的压降。
分离效率
旋风分离器的分离效率有两种表示方法:

颗粒尺寸越小,所受离心力越小,沉降速度也越小,被除下的比例也越小,总效率往往无法体现颗粒的不同粒度分布,于是就有了粒级效率的概念。对指定粒径dpi的颗粒定义其粒径效率为:

通常将经过旋风分离器后能除下50%的颗粒直径称为分割直径dpc,某些高效旋风分离器的分割直径可以小至3~10μm。
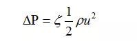
旋分压降
压降是流体流动的重要推动力,同样的,压降大小也是评价旋风分离器性能的重要指标。旋风分离器的压降可以表示成气体入口动能的某一倍数:

ζ为阻力系数。对给定的旋风分离器型式,ζ值是一个常数。
旋风分离器内的流动
在旋风分离器内,气流形成两个主旋涡,气体切线进入分离器后以螺旋形旋转向下的外旋涡和由锥底螺旋形上升至排气管的内旋涡。两旋涡的旋转方向相同。在表面粗糙的器壁和圆柱形顶部靠近排气管处也会产生一些局部旋涡。
内外旋涡的方向和规律大致如下:

外旋涡造成的离心力将颗粒抛向器壁,内旋涡由于具有较大的旋转角速度,也可以将细小颗粒向外抛出,故同样是分离的积极部分。
实验表明,缩小旋风分离器的直径、采用较大的进口气速、延长锥体部分的高度,均可提高分离效率。一般旋风分离器进口气速可取15~25m/s。如果气体处理量较大,可以两个或多个尺寸较小的旋风分离器并联操作,多个小旋风的分离效率比一个大旋风高。
旋风分离器内的气流以内旋涡旋转上升时,在锥底形成升力。如果锥底集尘斗密封不好,气体就会窜入器内使得分离效率严重下降。底部气流旋转上升使得已沉下的部分颗粒重新卷起是影响旋分分离效率的重要因素。为了抑制这一不利因素设计了一种扩散式旋分分离器,它具有上小下大的外壳,当然这个在炼油的催化裂化装置不常用。在催化裂化中,为了挡住反串气流,在二级旋风分离器料腿下口安装翼阀。翼阀是个单向阀,能在重力作用下打开,重力减小时可以自动关闭。一级旋风分离器催化剂流量大,料腿粗,如果安装翼阀,翼阀太大,开启不灵活,一般设置挡板或者倒锥。
